|
|
|
Közlekedési kirándulások!
|
Témaindító: Csukló, idő: Aug 3, 2010
Témakörök:
|
|
|
(#6761) Abs hozzászólása
|
Válasz •
|
Szept 21, 2011 |
|
Ma kirándultam egyet a városban...
Abs |
|
|
|
(#6777) Frankye válasza Abs hozzászólására (#6761)
|
Válasz •
|
Szept 30, 2011 |
|
Van egy hangulata a képeidnek! Moldova, meg a "vasutas könyve" jut róluk az eszembe. Főleg a fekete-fehérről...
Nagyon jók!  |
|
(#7354) Abs hozzászólása
|
Válasz •
|
Jan 3, 2012 |
|
2012-es programterv |
|
|
|
(#7355) Csukló válasza Abs hozzászólására (#7354)
|
Válasz •
|
Jan 3, 2012 |
|
Hu ez nagyon kínaiul van írva! |
|
(#7356) balatonperes válasza Csukló hozzászólására (#6708)
|
Válasz •
|
Jan 3, 2012 |
|
....te hová nem mész...KI??!!!....... |
|
(#7358) Csukló válasza balatonperes hozzászólására (#7356)
|
Válasz •
|
Jan 3, 2012 |
|
Romániába! |
|
(#7359) balatonperes válasza Csukló hozzászólására (#7358)
|
Válasz •
|
Jan 3, 2012 |
|
Pedig ott is nagyon sok szép látnivaló van!(de hát,neked csak a villamosok.....) |
|
(#7360) Frankye válasza Csukló hozzászólására (#7358)
|
Válasz •
|
Jan 3, 2012 |
|
Ebbe ugye Erdély nem számít bele?
Bocs, nem akarok polit-izélni!  |
|
(#7361) Abs válasza Csukló hozzászólására (#7355)
|
Válasz •
|
Jan 3, 2012 |
|
Kínaiul? Neeem, táviratiul! 
Súgok: állomás, időadat, vonatadat, kilométer, kilométer, időadat, időadat.  |
|
(#7362) Frankye válasza Abs hozzászólására (#7361)
|
Válasz •
|
Jan 4, 2012 |
|
Ők (nem vasutasok) nem ismerik az állomások hívójel-jelölési rendszerét, így nem sokat fognak belőle érteni - szerintem.  |
|
(#7363) Csukló hozzászólása
|
Válasz •
|
Jan 4, 2012 |
|
Én is csirkére tippeltem! |
|
(#7364) Abs válasza Frankye hozzászólására (#7362)
|
Válasz •
|
Jan 4, 2012 |
|
Aki megfejti, jöhet! 
(csak dátum nincs még...) |
|
(#7365) kisKirály válasza Abs hozzászólására (#7364)
|
Válasz •
|
Jan 4, 2012 |
|
Nono!
Ilyen erővel még szervkereskedők karmai közé is juthatunk!  |
|
(#7368) Frankye válasza Abs hozzászólására (#7364)
|
Válasz •
|
Jan 4, 2012 |
|
Mondhatom?  |
|
(#7369) kisKirály válasza Frankye hozzászólására (#7368)
|
Válasz •
|
Jan 4, 2012 |
|
Te kis hucfut... 
...halljuk, ne kéresd magad!  |
|
(#7372) Frankye válasza kisKirály hozzászólására (#7369)
|
Válasz •
|
Jan 4, 2012 |
|
Néhány, az ismertebbek közül:
SU - Budapest-Keleti
B - Budapest-Déli
PV - Budapest-Nyugati
HN/HV - Hatvan
UD - Dombóvár
MS- Miskolc
NI- Nyíregyháza
PL - Püspökladány
C/BC - Békéscsaba
OH - Orosháza
SN - Szentes
CV - Cegléd
FC - Ferencváros
SV - Székesfehérvár
HD - Hidasnémeti
SR - Szerencs
SH - Sátoraljaújhely (?)
HL - Kiskunhalas (?)
A többit tessék kitalálni!  |
|
(#7374) Abs válasza Frankye hozzászólására (#7372)
|
Válasz •
|
Jan 4, 2012 |
|
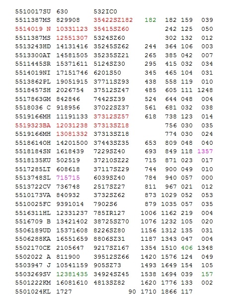
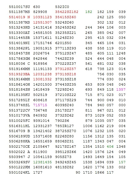
A Déli távirdajele is B, de itt nem arról van szó. Kiskunhalas után most Baja következik.
SH sem Sátoraljaújhely, mert az SV. Helyette Szeghalomra megyünk.
Hatvan se szerepel a táblázatban, amúgy HN.
HV az Helvécia.
Na, elárulom.
Az első adat az állomás statisztikai száma, és távirdajele.
Utána az állomásra érkezés, és a továbbindulás óra-percadata szerepel.
Ezt követik az adott állomásról induló vonatunk adatai: vonatszám, vonatnem, és az eddig megtett kilométerek.
A következő az "ötszázpluszba" beszámítható kilométer.
Aztán a göngyölített kilométeradatok.
Utána az adott vonaton utazással töltött idő (óra-perc).
Végül az állomáson átszállásra rendelkezésre álló idő, ugyancsak óra-perc.
piros szín: oldalutazás
zöld szín: "null" illetve legkedvezőbb érték.
lila szín: "max" illetve legkedvezőtlenebb érték. |
|
(#7375) Abs válasza Abs hozzászólására (#7374)
|
Válasz •
|
Jan 4, 2012 |
|
Van benne egy hiba, ki találja meg? (viszonyítási alap a távirat)  |
|
|
|
(#7382) Frankye válasza Abs hozzászólására (#7374)
|
Válasz •
|
Jan 5, 2012 |
|
Én azokat a rövidítéseket írtam le, amiket általában szoktunk használni, főként a SZVÖR-ben. Ebben (is) sok átfedés van! Jó néhány jelölést én magam "találtam ki" magamnak, mert a vonatelosztó értekezleten nehéz lenne minden vonat menetrendjéhez odaírni, hogy Sátoraljaújhely, meg Kunszentmiklós-Tass, stb. Így is több óra, mire végigmegyünk a közel 3.000 vonaton!  |
|
(#7402) Abs válasza Frankye hozzászólására (#7382)
|
Válasz •
|
Jan 7, 2012 |
|
Á, értem.  |
|
(#7411) Frankye válasza Abs hozzászólására (#7402)
|
Válasz •
|
Jan 7, 2012 |
|
Tudom, Nálatok a pályánál, egy kicsit másként "gondolkodtok"...  |
|
(#7433) Abs válasza Frankye hozzászólására (#7411)
|
Válasz •
|
Jan 8, 2012 |
|
Ó, le vagy maradva! Elpályáztam a pályásoktól, most épp magánvasútra megyek vonatozni. Amúgy csak annyi, hogy ragaszkodom az eredeti távirdajelekhez  |
|
(#7441) Frankye válasza Abs hozzászólására (#7433)
|
Válasz •
|
Jan 8, 2012 |
|
Jaaaa... Bocsánat!  |
|
(#7503) Abs válasza Frankye hozzászólására (#7441)
|
Válasz •
|
Jan 8, 2012 |
|
Semmi baj. Nem titkoltam, nem is reklámoztam. Ennyi  |
|
(#7531) Csukló hozzászólása
|
Válasz •
|
Jan 10, 2012 |
|
Idén is lesz Bécsben a 2. Vasúti - villamos
és a Digital Fair 2012
Szerintem idén is érdemes lenne kimenni.
Helyszín:
Tárgyaló House / Liesing
Perchtoldsdorfer utca 1
1230 Bécs
Időpont:
2012.03.09 16:00-19:00
2012.03.10 10:00-17:00
2012.03.11 10:00-16:00
Tavalyi HÍR
Van valakinek kedve és energiája ki jönni? |
|
(#7534) Frankye válasza Csukló hozzászólására (#7531)
|
Válasz •
|
Jan 11, 2012 |
|
Kedvem, energiám lenne, pénzem nem.  |
|
(#7615) nohab 74 hozzászólása
|
Válasz •
|
Jan 22, 2012 |
|
III. MODELLFESZTIVÁL
2012.02.24-26.FÖLDES FERENC GIMNÁZIUM TORNACSARNOKA
MISKOLC, HŐSÖK TERE 7.
Az Egyesület 40 méter hosszú, modulrendszerű terepasztala
Terepasztalok H0-H0e, TT-TTe, N, méretarányban
Vasútmodellek, modellritkaságok 1:20-tól 1:160 méretarányban
Egyedülálló kertivasút terepasztal
Diorámák különböző méretarányokban
A keleti blokk személy- és teherautó modelljei
A közúti fuvarozás története 1945-től napjainkig, 1/87-es méretarányban
Slot Car terepasztal
Miskolci Makettezők Egyesülete tagjainak díjnyertes makettjei
Látványmodellezés: dioráma építés, makettezés-technikai bemutató.
Kiss Márton Playmobil gyűjteménye
Modell-, makett- és játékbörze, szaktanácsadás
Playmobil és favonatos játszósarok
Nyitvatartás:
02. 24-én: 8:00-18:00 óráig
02.25-26.-án: 9:00-18:00 óráig
Belépőjegy:
Felnőtt: 500 Ft
Gyermek (14 éves korig): 300 Ft
Csoportos belépőjegy árak:
Iskolák:200 Ft/fő, 2 fő kísérő részére a belépés ingyenes.
Óvodák: 200 Ft/fő, 3 fő kísérő részére a belépés ingyenes.
Egyéb gyermekintézmény: 200 Ft/fő 3fő kísérő részére a belépés ingyenes.
Mozgássérültek és kísérőjük számára a belépés ingyenes.
A kiállítótér akadálymentesített!
Csoportos jegyigénylés :
E-mail: modelfesztival2012@hotmail.com
Telefon: +36 70 315 6196
Kiállítási információ:
E-mail: m.vasutmodell@gmail.com
Telefon: +36 70 612 6118
A felesleges sortöréseket és szóköz-sorozatokat kiszedtem. Frankye |
|
(#8476) Csukló hozzászólása
|
Válasz •
|
Máj 24, 2012 |
|
II. Hatvani jótékonysági kiállítás:
|
|
|
|
(#8820) Csukló hozzászólása
|
Válasz •
|
Szept 15, 2012 |
|
Mindenkit szeretettel várunk!
|
|
|
|
(#9081) BR01TT hozzászólása
|
Válasz •
|
Okt 3, 2012 |
|
Sziasztok!
A mi kis haveri társaságunk ugyan TT-be játszadozik, de azért néha el-el megyünk vonatozni valamerre.
Holnap pl. Bp.-Eger-Szilvásvárad.
Sajna a Szilvásvárad-Putnoki vonalon nem lehet utazni.
úgy tudom.
Ha nem zavar benneteket egy egy kép az eddigi csavargásról. |
|
|
|
(#9083) BR01TT hozzászólása
|
Válasz •
|
Okt 3, 2012 |
|
De zötyögtünk már Keszthelyre is Studenka-vagonkával a Balaton északi partján.
De volt szerencsénk egy mozdonyos utazáshoz is |
|
|
|
(#9085) balatonperes válasza BR01TT hozzászólására (#9081)
|
Válasz •
|
Okt 3, 2012 |
|
(picit,ha lehet pontosítsunk: érkezésetek a táblán olvasható állomásra,-gondolom én-mert mellettetek a pesti induló FLIRT, ill. amiről leszálltatok gyors, aztán megmásztátok 'látképnek' a hidat,és belőttetek a fűtőbe is....ahogy elnézem a két szélső képet, de azért, szegény jászi vonatot is lelőttétek, remélem!)  |
|
(#9086) BR01TT hozzászólása
|
Válasz •
|
Okt 3, 2012 |
|
És a kedvencem a kisvasút.
Azt persze mindig megállapítom, magamról, hogy ......nem vagyok egy "Matyó hímzés". Persze vigyorgok mint a tök, mert az csinálom amit szeretek. |
|
|
|
(#9089) BR01TT válasza balatonperes hozzászólására (#9085)
|
Válasz •
|
Okt 3, 2012 |
|
Szóval itt most nagy hirtelen szedegettem ki képeket azokról a helyekről ahova elvetődtünk.
A "Jász expressz" nem igazi expressz vonatot takar.
Hanem a barátom szülőföldjén átszáguldó vonatot.
Valamikor 375-ös járt erre. Mi az "Uzsgyi"-val mentünk.
Hatvan- Vámosgyörk között. |
|
|
|
(#9090) BR01TT hozzászólása
|
Válasz •
|
Okt 3, 2012 |
|
Aki naponta utazni kényszerül , ingázik. Az bizony lököttnek is néz minket. .......mi a "f" -t lelkesedik ez a négy vén marha?!
De hát mi szórakozásból csináljuk, más meg kényszerből. Na és ez azért nem ugyan az. |
|
(#9091) balatonperes válasza BR01TT hozzászólására (#9089)
|
Válasz •
|
Okt 3, 2012 |
|
(tudom, hogy nem expressz.....)
Ez a kép,meg ha jól saccolom, V.györkön készült.
Miért? Bz-vel szerinted jobb lett volna!? Uzsgyi csak pár éve járkál arra.
(értelmes helyre én is szivesen utazok, de 'metropollal'....soha többet!,inkább gyalog.....) |
|
(#9093) BR01TT válasza balatonperes hozzászólására (#9091)
|
Válasz •
|
Okt 3, 2012 |
|
Igen, ott készült.
Szóval mi minden elképzelhető járműre hajlandók vagyunk felülni. Minek utána egy évben egyszer, vagy ha össze tudjuk hangolni a csapatot kétszer jutunk el valamerre.
Mi azért vidáman zötykölődtünk a BZmot-on is három órát.
De van itt egy kis Aradi illetőségű HÉV is.
|
|
|
|
(#9095) balatonperes válasza BR01TT hozzászólására (#9093)
|
Válasz •
|
Okt 3, 2012 |
|
Felülni én is felülök! Utazni, na az,
már más kérdés. Uzsgyiból elég volt egyszer, egy Hn-S.tarján, oda-vissza. Soha többet.
Jó,nem mondom, hogy 'nem vagyok vidám', hisz 'sínen van', Orosháza megközelítése sem volt egy leányálom....,pár éve.
További jó vonatozást, bármerre is mentek! |
|
(#9096) BR01TT válasza BR01TT hozzászólására (#9093)
|
Válasz •
|
Okt 3, 2012 |
|
De utazni se kell, a vasút helybe jön. Elég csak a teraszra kimennem |
|
|
|
(#9097) BR01TT válasza balatonperes hozzászólására (#9095)
|
Válasz •
|
Okt 3, 2012 |
|
Köszönjük szépen! |
|
(#9138) Frankye válasza BR01TT hozzászólására (#9081)
|
Válasz •
|
Okt 4, 2012 |
|
Idézet: „Sajna a Szilvásvárad-Putnoki vonalon nem lehet utazni.
úgy tudom.”
Nem teljesen tudod jól. Szervezett csoportok részére utazható (?) a vonal, de csak különvonattal, aminek az ára nem épp baráti...  |
|
(#9139) Frankye válasza BR01TT hozzászólására (#9096)
|
Válasz •
|
Okt 4, 2012 |
|
Idézet: „Lopakodó tigris”
Ez jó! Olyan, mint a "sompolygó villám"!   |
|
(#9167) BR01TT válasza Frankye hozzászólására (#9139)
|
Válasz •
|
Okt 4, 2012 |
|
Hali!
Azért lopakodó Tigris, mert a beceneve "Tigris" a mozdonynak. De ne kérdezd miért? Nem tudom.
Lopakodónak meg én kereszteltem, mert Tényleg sunnyogva lépésben osont a pályán.
Annak meg az volt az egyszerű oka, hogy a szomszédom szintén vonatvezető és nagy valószínűséggel azt mutogatták egymásnak a kollégák, hogy hol lakik? És ezért volt az extra lassú menet. |
|
(#9168) BR01TT hozzászólása
|
Válasz •
|
Okt 4, 2012 |
|
Mai nap végre hajtottuk a Bp-Szilvásvárad utazást.
Ha nyerek a lotton benevezek egy külön vonatra Putnokig.
Jó volt! Azért látni mindenütt a Magyar valóságot!
Minden féle szempontból.
Sok kép készült, de talán megpróbálom háromba besűríteni a nap lényegét.
.............de úgy nézem nem sikerült maradéktalanul.
De hát 187 db képből kéni választanom.
De nyilván jártatok arra ti is. Mi most elösször vasúton. |
|
|
|
(#9226) Frankye válasza BR01TT hozzászólására (#9168)
|
Válasz •
|
Okt 5, 2012 |
|
Én jártam már arra, az ország egyik legszebb része (legalábbis nekem). Gyönyörű vidékeken halad a vonat.
(Azért a putnoki vonal beutazásához lottó ötös nem kell, de nem kevésbe kerül egy különvonat arra...) |
|
(#9228) etwg hozzászólása
|
Válasz •
|
Okt 5, 2012 |
|
Sziasztok,
ime néhány, többnyire általam készitett kisfilm röviditett változata a világ különbözö tájairól. Sajnos magyar verziojuk általában nincs, de remélem, így is elkalauzol titeket érdekesebb vasutak világába.
Vasuti filmek
Ha magyarul is akartok olvasni a vasutakról, akkor a
V&M
egyes kiadásaiban találhattok irást roluk.
Jó szorakozást! |
|
(#9259) BR01TT válasza etwg hozzászólására (#9228)
|
Válasz •
|
Okt 6, 2012 |
|
Azért jó néhány érdekes és szép helyre eljutottál!
De szükség is van arra , hogy valaki megörökítse ezeket, azok számára akik nem jutnak el ezen helyekre. |
|
(#9260) BR01TT válasza Frankye hozzászólására (#9226)
|
Válasz •
|
Okt 6, 2012 |
|
Persze addig kéne megnézni, még fel nem szedik a síneket is.
Nekünk az Eger-Szv. szakasz is nagyon tetszett. A térkép alapján a folytatás még kanyargósabb völgyeken halad keresztül.
Azért ha valaki oda jut, nem ártana filmen megörökíteni, mondjuk a vezérállásból! + a táj.
Hátha egyszer............. |
|
(#9270) Frankye válasza BR01TT hozzászólására (#9260)
|
Válasz •
|
Okt 6, 2012 |
|
Ha gondolod, beszélek a jövő héten a kollégákkal, hogy mi kellene hozzá, mennyibe kerülne egy ottani vonatozás. (START-nál dolgozom.) |
|
(#9334) BR01TT válasza Frankye hozzászólására (#9270)
|
Válasz •
|
Okt 8, 2012 |
|
Nézd, egy kérdést mindenféleképp meg ér!
A barátok biztosan örülnének a lehetőségnek, főként ha pénzügyileg elérhető.
Biztos hogy szép hely! |
|
| |
2025. Dec, 16. Kedd 11:49:56 |
| |
Jelenleg 13 fő olvassa az oldalt |
|
|